Theorie:
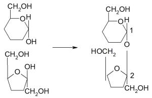
Zwei Monosaccharid-Moleküle können durch eine Kondensationsreaktion ein Disaccharid bilden, einen Zweifachzucker. Im Fall des Disaccharids Saccharose reagieren ein -D-Glucose- und ein -D-Fructose-Molekül. Dabei wird ein Wasser-Molekül entzogen.

Die beiden Moleküle sind über die anomeren C-Atome miteinander verbunden. Die "Sauerstoff-Brücke" zwischen den beiden Monosaccharid-Molekülen nennt man glycosidische Bindung.
Saccharose (Rohr- oder Rübenzucker)

Saccharose ist in großen Mengen in der Zuckerrübe, im Zuckerrohr und der Zuckerpalme vorhanden.

Gewinnung:
Aus diesen Pflanzen wird die Saccharose durch Zerkleinern und Auslaugen gewonnen, durch weitere Verfahrensschritte aufgereinigt und aufkonzentriert. Durch nachfolgendes Raffinieren erhält man schließlich ein \(99,5\%\)iges Saccharose-Produkt.
Süßkraft:
Die Süße eines Stoffes wird relativ zu der von Saccharose angegeben. Saccharose erhält also den dimensionslosen Wert 1. Die Süßkraft anderer natürlicher und künstlicher Süßungsmittel werden mit ihrer Süßkraft verglichen.
Lactose (oder Laktose, Milchzucker)

Lactose entsteht aus den beiden Hexosen Galactose und Glucose. Sie ist Bestandteil der Milch von Säugetieren (also auch des Menschen) und somit auch in Milchprodukten enthalten. Je nach weiterer Verarbeitung variiert der Lactoseanteil. In Kuhmilch sind \(4,6\) Lactose enthalten, in lange gereiften Hartkäsesorten oft nur noch \(0,1\) .

Im Körper wird es vom Enzym Lactase gespalten. Herrscht ein Mangel an diesem Enzym, spricht man von Lactoseintoleranz, oder Milchzuckerunverträglichkeit. Der lactoseintolerante Anteil der Bevölkerung variiert mit der Region: In Südostasien ist beispielsweise fast jeder Mensch \(98\) lactoseintolerant, in Schweden sind es nur etwa \(2\) von \(100\) Menschen.
Maltose (oder Malzzucker)


Maltose ist Bestandteil von Malz, also z.B. gekeimte und getrockene Gerste. Sie kommt somit im Bier vor, aber auch in Erdäpfeln, Pasta und Cerealien. Sie besteht aus D-Glucose Einheiten, die über eine glycosidische Bindung miteinander verbunden sind.
Quellen:
https://commons.wikimedia.org/wiki/File:Saccharose2.svg (01.06.2016)
https://commons.wikimedia.org/wiki/File:Zuckerr%C3%BCbe.jpg (01.06.2016)
Lehrbrief 13, Georg Chovanec,Dr.Roland, 1.Auflage 2010
https://commons.wikimedia.org/wiki/File:Lactose_Haworth.svg (01.06.2016)
https://pixabay.com/de/milch-glas-frisch-gesund-trinken-518067/ (01.06.2016)
https://commons.wikimedia.org/wiki/File:Maltose_Haworth.svg (01.06.2016)