Theorie:
Bei der Aufeinanderfolge der Aminosäuren im Protein spricht man von der Aminosäure-Sequenz. Man bezeichnet sie außerdem als Primärstruktur.
Proteine sind aber nicht einzelne, geradlinige Ketten. Sie bilden spontan dreidimensionale Strukturen aus, die Sekundärstruktur.
Die prominentesten Sekundärstrukturen sind die -Helix und das -Faltblatt.

Bei der -Helix ist die Polypeptidkette zu einer Schraube geformt. Im Inneren bilden sich Wasserstoffbrücken zwischen den CO- und NH-Gruppen, die Seitenketten sind nach Außen gerichtet.

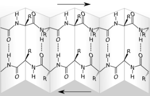
Beim -Faltblatt sind die -C-Atome gegeneinander gekippt. Es ergibt sich eine ziehharmonikaähnliche Struktur. Dabei unterscheidet man zwischen antiparallelen (gegensinnigen, siehe Bild) Verknüpfungen und parallelen (gleichsinnigen) Verknüpfungen.
Die beiden Strukturelemente treten in Polypeptidketten oft hintereinander und in festgelegter Reihenfolge auf. Dadurch entsteht sogenannte Domänen. Eine typische Domäne setzt sich zum Beispiel aus der Abfolge -Helix--Faltblatt--Helix zusammen.
Tertiärstruktur
Unter der Tertiärstruktur versteht man die dreidimensionale Form eines Proteins. Erst durch seine Raumstruktur wird ein Protein funktionell. Tertiärstrukturen werden durch Wechselwirkungen stabilisiert:
- Disulfid-Brücken zwischen zwei Cystein-Resten (z.B. beim Insulin)
- Elektrostatische Anziehung zwischen negativ und positiv geladenen Resten.
- Wasserstoffbrücken
- hydrophobe Wechselwirkungen durch van der Waals-Kräfte zwischen zwei unpolaren Gruppen
Viele Proteine setzten sich aus mehreren Ketten zusammen. In diesem Fall spricht man von der Quartärstruktur eines Proteins. Hämoglobin besteht z.B. aus \(4\) Peptidketten.

Quellen:
https://commons.wikimedia.org/wiki/File:Alpha_helix.png (02.07.2016)
https://commons.wikimedia.org/wiki/File:Beta-Faltblatt.svg (02.07.2016)
https://commons.wikimedia.org/wiki/File:Protein-Struktur.png (02.07.2016)