Die Aufgabenstellung:
3♦
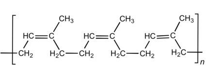
Welcher Kunststoff wird hier gezeigt?

Bei Kunststoffen unterscheidet man je nach Vernetzungsgrad zwischen drei Gruppen.
Wie nennt man Kunststoffe, die locker vernetzt sind, die elastisch sind und die sich bei hohen Temperaturen zersetzen?
Wie nennt man Kunststoffe, die locker vernetzt sind, die elastisch sind und die sich bei hohen Temperaturen zersetzen?
Um die Antwort abzuschicken und Ergebnisse zu sehen, müssen Sie eingeloggt sein. Bitte loggen Sie sich ein oder registrieren Sie sich im Portal!
Anmeldung
oder
Registrieren