Die Aufgabenstellung:
3♦
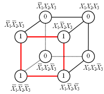
Welche Schaltung entspricht der gegebenen Wahrheitstabelle?

Um die Antwort abzuschicken und Ergebnisse zu sehen, müssen Sie eingeloggt sein. Bitte loggen Sie sich ein oder registrieren Sie sich im Portal!
Anmeldung
oder
Registrieren