Theorie:

Um einen algebraischen Bruch zu kürzen, faktorisiert man den Zähler und den Nenner. Stellt sich heraus, dass der Zähler und der Nenner einen gemeinsamen Faktor haben, dürfen sie gekürzt werden.
Die Methoden des Faktorisierens von Polynomen:
- Herausheben;
- Anwendung der binomischen Formeln;
- Gruppieren.
 
001.PNG
- der Bruch wird durch das Binom \((m + 2)\) gekürzt;
002.PNG
- der Zähler und der Nenner des Bruches werden faktorisiert; danach wird der Bruch durch den gemeinsamen Faktor \((x - y)\) gekürzt;
003.PNG- der Zähler und der Nenner des Bruches werden faktorisiert, und der Bruch wird durch \((a - b)\) gekürzt.
004.PNG
- der Zähler des Bruches wird mithilfe der ersten binomischen Formel faktorisiert; im Nenner wird der gemeinsame Faktor herausgehoben; dann wird der Bruch mit dem gemeinsamen Faktor \((m + n)\) gekürzt.
Die binomischen Formeln, die man beim Kürzen von Brüchen anwenden kann
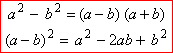
Die erste binomische Formel (a+b)2=a2+2ab+b2;
Die zweite binomische Formel (ab)2=a22ab+b2;
Die dritte binomische Formel a2b2=(ab)(a+b);
Die erste binomische Formel dritten Grades a3+b3=(a+b)(a2ab+b2);
Die zweite binomische Formel dritten Grades a3b3=(ab)(a2+ab+b2).
 
Beispiel:
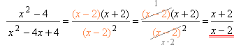
Kürze den Bruch x24x24x+4.
Lösung:
1. Man faktorisiert den Zähler und den Nenner des Bruches durch Anwendung der dritten und der zweiten binomischen Formel:
x24x24x+4=(x2)(x+2)(x2)2
                     1211.PNG
      
2. Man kürzt den Bruch durch den gemeinsamen Faktor \((x-2)\).
 
005.PNG
 
Forme den Bruch 2x+2 so um, dass der Nenner zu 3x212 wird.
 
Lösung:
1. Um zu verstehen, wie man den Bruch 2x+2 erweitert, faktorisiert man den Term 3x212:
3x212=3(x24)=3(x2)(x+2)
 
2. Man vergleicht den berechneten Term mit dem Nenner des ursprünglichen Bruches, \(x+2\), und sieht, dass man den Bruch mit \(3(x-2)\) erweitern muss.
 
006.PNG
 
 
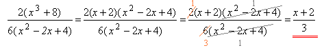
Vereinfache den Term 2x3+166x212x+24.
Lösung:
1. Im Zähler hebt man den gemeinsamen Faktor \(2\) heraus, im Nenner den Faktor \(6\):
2x3+166x212x+24=2(x3+8)6(x22x+4).
 
2. Man faktorisiert den Term x3+8 durch Anwendung der ersten binomischen Formel dritten Grades. Danach kürzt man den Bruch.
007.PNG