Theorie:
Die Art von Alkohol und Säure, die einen Ester aufbauen, bestimmen seine Eigenschaften.
Allgemeine Eigenschaften
Schmelz- und Siedepunkte.
Je geringer die Kohlenstoffanzahl, desto niedriger sind Schmelz- und Siedepunkte. Im Vergleich zu Carbonsäuren und Alkoholen können Ester keine starken Wasserstoffbrücken ausbilden. Daher liegen ihre Siedepunkte wesentlich niedriger. Bei langen Kohlenstoffketten sinkt der Einfluss der polaren Gruppe weiter. Die Schmelz- und Siedepunkte der langkettigen Ester sind daher vergleichbar mit denen entsprechender Kohlenwasserstoffe.
Geruch.
Ester mit nur wenigen C-Atomen nennt man aufgrund ihres intensiven Geruchs Fruchtester. Das intensive Fruchtaroma verschiedenster Obstarten ist auf einen hohen Anteil an unterschiedlichen Fruchtestern zurückzuführen. Ester der langkettigen Fettsäuren haben diese Eigenschaft nicht. Sie sind z.B. Hauptbestandteil von Wachs.
Kurzkettige Ester | Langkettige Ester |
![]() | ![]() |
| Aromastoffe von z.B. Erdbeeren, Kiwis, Äpfeln und Bananen. | Natürliche Wachse, wie z.B. das Bienenwachs. |
Löslichkeit.
Die meisten Ester sind aufgrund ihres unpolaren Restes lipophil. Obwohl sie wegen ihrer polaren Gruppe im Prinzip Wasserstoffbrücken ausbilden können, mischen sie sich wegen ihrer geringen Gesamt-Polarität nur mit unpolaren und wenig polaren Stoffen.
Viele wichtige Ester sind Carbonsäureester. Sie entstehen durch Veresterung eines Alkohols und einer Carbonsäure.
Die nachfolgende Tabelle gibt einen Überblick über die wichtigsten Carbonsäureester:
Alkohol | Carbonsäure | Ester |
\(C_1 - C_6\) | \(C_1 - C_6\) | 'Fruchtester'; Aromastoffe, Lösungsmittel |
\(C_{16} - C_{32}\) | \(C_{16} - C_{30}\) | Wachse (wasserabweisend) |
Propan-1,2,3-triol (Glycerin) | \(C_4 - C_{22}\) mit gerader C-Anzahl | Fette, Öle (ungesättigt), Talg |
Ethandiol, Propantriol | Benzendicarbonsäuren | Polyester in Texilien und Lack |
Auch Phenole können mit Säuren zu Estern reagieren, beispielsweise die Acetylsalicylsäure, der Wirkstoff in Aspirin.

Neben Carbonsäureestern gibt es noch weitere Ester anderer Säuren:
Aus Glycerin (\(Propan-1,2,3-triol\)) und Salpetersäure (\(HNO_3\)) entsteht Nitroglycerin, ein Sprengstoff.

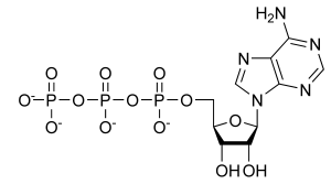
Phosphorsäureester sind wichtige Verbindungen in allen Organismen. Z.B. ist ATP (Adenosintriphosphat) der wichtigste Energiespeicher in Zellen.

Schwefelsäureester stellen die häufigsten waschaktiven Stoffe in Waschmitteln dar.
Quellen:
https://commons.wikimedia.org/wiki/File:Erdbeere.jpg
https://commons.wikimedia.org/wiki/File:Pollen_in_Wabe_31b.jpg
https://commons.wikimedia.org/wiki/File:Aspirin-skeletal.svg
https://commons.wikimedia.org/wiki/File:Nitroglycerin_vzorec.png
https://commons.wikimedia.org/wiki/File:ATP_chemical_structure.png

