Theorie:
Einer der wohl wichtigsten Begriffe im Zusammenhang mit Folgen ist der Grenzwert. Nicht jede Folge hat einen, doch wenn sie einen Grenzwert hat, dann ist es die Zahl, der die Folgenglieder "immer näher" kommen. Illustrieren wir das wieder an Hand einen Beispiels, und zwar der Folge \(\langle a_n\rangle\) mit den Folgengliedern \(a_n=\frac 1{n+1}\), für alle natürlichen \(n\). Rechnen wir die ersten Folgenglieder aus:
\(a_0=1\)
\(a_1=0,5\)
\(a_2=0,333\ldots\)
\(a_3=0,25\)
\(a_4=0,2\)
\(\vdots\)
\(a_{10}=0,1\)
\(\vdots\)
\(a_{100}=0,01\)
Es sieht nun so aus, als würden sich die Folgenglieder \(0\) immer mehr annähern! Und tatsächlich kommt die Folge \(0\) beliebig nahe! Geben wir eine kleine Zahl vor, zum Beispiel \(\epsilon = 0,0001\). Es ist nicht schwer, Folgenglieder zu finden, die näher als \(\epsilon\) bei \(0\) liegen. So ist der Abstand von \(a_{10000}\) zu \(0\) (das ist \(|a_{10000}-0|\)) kleiner als \(\epsilon\)! Und alle danach kommenden Folgenglieder sind noch näher bei \(0\). Und egal, wie klein wir dieses \(\epsilon>0\), wir können immer ein Folgenglied wählen (d.h. einen Index \(n\)), ab dem alle weiteren Folgenglieder näher als \(\epsilon\) bei \(0\) liegen. Wenn wir \(n\) gegen \(\infty\) gehen lassen, dann konvergiert die Folge \(\langle a_n\rangle\) gegen \(0\). Und \(0\) ist der Grenzwert.
Für eine Folge \(\langle a_n\rangle\) heißt eine Zahl \(a_\infty\) Grenzwert oder Limes der Folge, wenn man für jedes noch so kleine \(\epsilon > 0\) einen Index \(n^*\in\mathbb N\) finden kann, ab dem alle Folgenglieder näher als \(\epsilon \) bei \(a_\infty\) liegen:
\(|a_n-a_\infty| < \epsilon\) für alle \( n\ge n^*\).
Man sagt: Die Folgekonvergiert gegen \(a_\infty\) für \(n\to \infty\). Man schreibt \(a_\infty=\lim_{n\to\infty} a_n\).

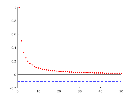
Grafische Darstellung des Grenzwertes: Die roten Punkte sind Folgenglieder einer Folge, der Index \(n\) ist auf der horizontalen Achse, und der Wert der einzelnen Folgenglieder auf der vertikalen Achse abzulesen. Die Folge konvergiert offenbar gegen null. Der Bereich zwischen den blauen strichlierten Linien ist der Bereich, welcher näher als \(\epsilon = 0,1\) bei null liegt. Ab dem Index \(n^*=11\) liegen die Folgenglieder alle näher als \(\epsilon\) bei null. Wenn man für jedes beliebige \(\epsilon>0\) so ein \(n^*\) finden könnte, dann hätten wir die Konvergenz der Folge gegen null gezeigt.
Beispiel:
Betrachten wir die Folge \(\langle a_n\rangle\), deren Folgenglieder explizit gegeben sind durch \(a_n=\frac 1{n+3}\). Wenn \(n\) sehr groß wird (wir sagen auch: für \(n\to\infty\)) wird der Nenner der \(a_n\) sehr groß, daher werden die \(a_n\) selber sehr klein. Daher ist \(0\) ein plausibler Kandidat für den Grenzwert. Ob \(0\) tatsächlich Grenzwert ist, müssen wir nun aber mit obiger Definition überprüfen.
Dazu wählen wir ein beliebiges \(\epsilon>0\), und untersuchen, für welche \(n\in\mathbb N\) die Ungleichung
Dazu wählen wir ein beliebiges \(\epsilon>0\), und untersuchen, für welche \(n\in\mathbb N\) die Ungleichung
Beispiel:
Beispiel:
\( \left|\frac 1{n+3} -0\right|<\epsilon\)
Beispiel:
Beispiel:
gilt (wir schauen, ob der Abstand der Folgenglieder zu \(0\) irgendwann kleiner als \(\epsilon\) wird). Da im Betrag alles positiv ist, können wir die Betragsstriche weglassen, und die Ungleichung umformen zu
Beispiel:
Beispiel:
\( \left|\frac 1{n+3} -0\right|<\epsilon \quad \Leftrightarrow\quad \frac 1\epsilon <n+3 \quad \Leftrightarrow\quad \frac 1\epsilon-3 <n.\)
Beispiel:
Beispiel:
Für jedes noch so kleine \(\epsilon >0\) gibt uns diese letzte Ungleichung auf der rechten Seite genau an, für welche \(n\in\mathbb N\) die Folgenglieder \(a_n\) näher als \(\epsilon\) bei \(0\) liegen. Und wir erkennen hier: Egal, wie man \(\epsilon\) wählt, die obige Ungleichung gilt immer, sobald man \(n\) groß genug wählt. Also ist \( 0\) tatsächlich der Grenzwert. Rundet man \( \frac 1\epsilon-3\) auf, so hätte man auch schon ein \(n^*\) gefunden.
Für Grenzwerte gelten folgende Eigenschaften:
- Nicht jede Folge besitzt einen Grenzwert!
- Wenn eine Folge einen Grenzwert besitzt, so ist er eindeutig (es kann also nie mehrere Grenzwerte einer Folge geben).
- Unbeschränkte Folgen haben nie einen Grenzwert.
Beispiel:
Die Folge \(\langle (-1)^n\rangle=\langle 1,-1, 1, -1, 1,\ldots\) springt immer zwischen \(-1\) und \(+1\) hin und her, sie hat keinen Grenzwert.
Eine Folge, die nicht konvergiert, nennt man divergent.
Eine Folge, deren Verhalten abhängig von einem Parameter ist, kennen wir schon: Die geometrische Folge ist \(\langle q^n\rangle\), wobei \(q>0\) ein reeller Parameter ist.
Für die geometrische Folge gilt:
- Für \(0<q<1\) konvergiert die Folge gegen \(0\).
- Für \(q=1\) konvergiert die Folge gegen \(1\).
- Für alle \(q>1\) divergiert die Folge.
Das Überprüfen dieser Aussagen ist Teil der kommenden Übungsaufgaben.
Für rekursiv definierte Folgen wird der Grenzwert im Allgemeinen vom Startwert abhängen. Jedoch kann man oft ohne Kenntnis des Startwertes die möglichen Grenzwerte bestimmen. Das ist keine Aussage darüber, ob die Folge überhaupt konvergiert, sondern nur darüber, welche Zahl ein Grenzwert wäre, falls die Folge konvergieren würde!
Ist \(\langle a_n\rangle\) eine Folge, und die Folgenglieder werden rekursiv durch \(a_{n+1}=f(a_n)\) bestimmt (hierbei ist \(f\) eine Funktion). Dann ist eine reelle Zahl \(a\) genau denn ein möglicher Grenzwert der Folge, wenn \(a\) die Gleichung \(a=f(a)\) löst.
Beispiel:
Seien die Folgenglieder der Folge \(\langle a_n\rangle\) rekursiv bestimmt durch \(a_{n+1}=\frac 13 a_n +2\). Die Funktion \(f\) wäre hier also \(f(x)=\frac 13 x+2\). Ein möglicher Grenzwert \(a\) würde also die Gleichung
\(a=\frac 13a+2\)
lösen. Diese Gleichung können wir leicht lösen, und sie hat nur eine Lösung, nämlich \(a=3\). Wir wissen dadurch: Egal, wie wir den Startwert \(a_0\) wählen - falls die Folge konvergiert, konvergiert sie gegen \(3\).
Wichtig!
Wenn man einen möglichen Grenzwert einer rekursiven Folge berechnen kann, so heißt das noch lange nicht, dass die Folge auch dagegen konvergieren muss.