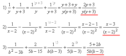
Theorie:

Um Brüche, deren Nenner unterschiedlichen Polynome sind, zu addieren oder zu subtrahieren, muss man:
  •  den gemeinsamen Nenner bestimmen;
  •  die Brüche auf den gemeinsamen Nenner bringen;
  •  die gegebenen Rechnungen ausführen;
  •  das Ergebnis wenn möglich vereinfachen.
Sind die Nenner der Brüche Polynome, so ist der gemeinsame Nenner dieser Brüche auch ein Polynom, das man wie folgt bestimmt:
  • man faktorisiert die Nenner aller gegebenen Brüche, wenn das nötig und möglich ist;
  • man verwendet alle Faktoren des ersten Nenners. Von den anderen Nennern nimmt man die Faktoren dazu, die nicht im ersten Nenner vorkommen.
 
Können die Polynome in den Nennern nicht faktorisiert werden, ist der gemeinsame Nenner das Produkt aller Nenner der gegebenen Brüche.
  
 
teo7_1.PNG
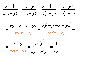
Beispiel:
Addiere die Brüche x1x2xy+1yxyy2
 
Lösung:
 
1) Man faktorisiert die Nenner der Brüche:
x1x2xy+1yxyy2=x1x(xy)+1yy(xy)
 
2) Man bestimmt den gemeinsamen Nenner:
Im Vergleich zum Nenner des zweiten Bruches hat der Nenner des ersten Bruches, \(x ( x - y )\), keinen y-Faktor; deshalb ist der gemeinsame Nenner dieser Brüche xxyy=xyxy.
 
3) Man bringt die Brüche auf den gemeinsamen Nenner und vereinfacht das Ergebnis:
teo7_2.PNG