Theorie:
Bevor wir die Eigenschaften von algebraischen Brüchen genauer betrachten, wiederholen wir kurz grundlegende Eigenschaften von Brüchen ganzer Zahlen.
Die Grundeigenschaft eines Bruches:
Der Wert des Bruches ändert sich nicht, wenn sein Zähler und sein Nenner beide
- mit derselben Zahl (ungleich null) multipliziert werden, oder
- durch dieselbe Zahl (ungleich null) dividiert werden.
Die Multiplikation des Zählers und des Nenners eines Bruches mit einer Zahl nennt man Erweiterung eines Bruches, und die Division des Zählers und des Nenners durch eine Zahl nennt man Kürzen eines Bruches.
Beispiel:
1. | ![]() | Man multipliziert den Zähler und den Nenner des Bruches mit \(4\), d.h. man erweitert den Bruch mit \(4\). |
2. | Man dividiert den Zähler und den Nenner des Bruches durch \(7\), d.h. man kürzt den Bruch mit \(7\). |
Mit algebraischen Brüchen kann man dieselben Rechenvorgänge wie bei Zahlenbrüchen durchführen: die Addition, die Subtraktion, die Multiplikation, die Division und das Potenzieren.
Die Grundeigenschaft des algebraischen Bruches:
Der Wert eines algebraischen Bruches ändert sich nicht, wenn der Zähler und der Nenner des Bruches mit demselben Ausdruck (außer Null) multipliziert oder dividiert werden.
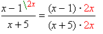
1. | Man multipliziert den Zähler und den Nenner mit dem Monom \(2x\); man erweitert den Bruch mit \(2x\). | |
2. | Man dividiert den Zähler und den Nenner durch das Binom \(y + 5\); man kürzt den Bruch mit \(y + 5\). |
Wichtig!
Alle Rechnungen werden nur im Definitionsbereich dieses Bruches ausgeübt.
Beispiel:
Kürze
1. Die Zahlen \(26\) und \(169\) haben den gemeinsamen Faktor \(13\), deshalb kann man den Bruch kürzen:
Beachte: ,
da die Potenzen und durch kürzbar sind.
Wir erhalten .
Die gleichen Faktoren \(c\) werden gekürzt. Die Variable \(b\) kann nicht gekürzt werden, weil es im Nenner des Bruches keine solche Variable gibt.
Wir erhalten schließlich
.
