Theorie:

Um einen Bruch mit dem anderen Bruch zu multiplizieren, muss man zum einen die Zähler, zum anderen die Nenner der Brüche miteinander multiplizieren. Das Produkt der Zähler schreibt man als Zähler des Ergebnisses und das Produkt der Nenner ist dessen Nenner.
 
teo8_1.PNG
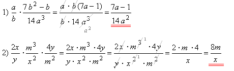
Das Produkt von algebraischen Brüchen entspricht dem Bruch, dessen Zähler das Produkt der Zähler und dessen Nenner das Produkt der Nenner der multiplizierten Brüche ist.
 
Wenn es möglich ist, kürzt man den Bruch im Ergebnis.
teo8_2.PNG
  
Das Produkt ist für die Werte der Variablen bestimmt, für die der Nenner des Bruches nicht Null ist.
Das heißt, sind AB und CD die zwei algebraischen Brüche, dann ist ABCD=ACBD wenn B0undD0.
Beispiel:
Multipliziere: 12a425b35b26a4
Lösung: das Produkt einer positiven und einer negativen Zahl ist eine negative Zahl. Deshalb schreibt man vor dem Bruch das Minuszeichen.
 
teo8_5.PNG