Theorie:
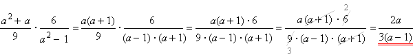
Um die Brüche zu multiplizieren, deren Zähler und Nenner Polynome sind, muss man:
- diese Polynome wenn möglich faktorisieren;
- die Zähler der Brüche miteinander und die Nenner der Brüche miteinander multiplizieren;
- das Produkt der Zähler durch das Produkt der Nenner dividieren.
Beispiel:
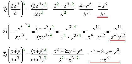
Die Bestimmung des Wertes der Potenz
nennt man Potenzieren.
Die Potenz des algebraischen Bruches
mit natürlichem Exponenten \(n\) ist das Produkt von \(n\)-Faktoren, von denen jeder gleich
ist:

Die Potenz eines Bruches entspricht dem Bruch, dessen Zähler die Potenz des Zählers und dessen Nenner die Potenz des Nenners ist.
Aus dem Multiplikationsgesetz folgt, dass 

Beispiel: